通常眼硬核仪器 × 软萌兔子:用源表波形打造技术圈的治愈系作品!!!
提起源表 SMU,多数人脑海里浮现的都是实验室里精密的测试场景:半导体器件的 I-V 特性测量、绝缘材料的高阻检测、锂电池的充放电监测…… 它是集四象限电压源、电流源、电压表、电流表于一体的硬核测试工具,凭借超高的测量分辨率和多功能集成优势,成为电子、半导体等领域工程师的 “标配武器”。
但你能想到吗?这台专司精密测试的仪器,还能解锁 “电子画笔” 的隐藏身份,用定制化的特殊波形,画出软萌可爱的小兔子。当精准的电信号遇上天马行空的创意,硬核技术与治愈萌物的碰撞,会擦出怎样的火花?一起看下去吧!
一
基本参数测试及测试设备
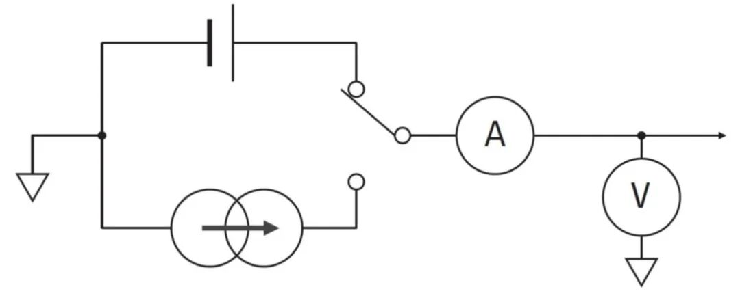
参数测试的主要测量资源是源表SMU。源表SMU能同时提供和测量电压或电流。
下图显示简化的源表SMU等效电路:

由于源表SMU 必须测量非常低的电流 (1fA 或更低),它们总是使用三轴输出。
二
源表类型
有多种不同类型的源表SMU。
最常见的源表是中功率源表SMU (MPSMU); 顾名思义这种 SMU 能提供中等大小的电压和电流 (±100 V和 ±100 mA)和低至10 fA 的电流测量分辨率。
高分辨率源表SMU (HRSMU) 适用于精密测量,它有与 MPSMU 相同的电压和电流能力,但电流测量分辨率可达到 1fA,甚至更低,电压测量分辨率则能达到 0.5 µV。
高功率源表SMU (HPSMU) 适用于要求超过MPSMU 或 HRSMU 可供电流或电压的应用; 这种 SMU 能提供达 ±1A 的电流和±200 V 的电压,并有与 MPSMU 相似的测量分辨率。
三
利用源表输出复杂特定波形
源表能产生任意波形和图形
通常源表(SMU)采用的都是直流电源,如绝缘材料高阻、电容器的绝缘电阻的测量,施加的实际恒定的直流电压下,进行电流的测量,而微弱信号,小电阻测量时,通常施加恒定的直流电流,进行电压测量。
然而,很多被测件DUT的测量需要施加特定的激励波形、如二极管的IV特性测量,需要在指定的电压或电流范围内,逐点改变电压 V 或电流 I 的值,并测量出对应的I或V,画出曲线;在测量VSCEL、MOSFET等激励电流较大器件时,为避免器件特性变化甚至熔断,也通常会采用脉冲替代直流激励等; 锂电池的交流内阻 ACR测量,需要给电池注入特定频率和幅度的电流正弦波。
四
源表(SMU)三种产生激励波形的方法
1)脉冲,线性扫描
此功能可以通过仪器前面板(B2900,PZ2100A系列)直接设置,也可以通过软件编辑输出
2)简单的内置波形


一些简单的波形,可以通过软件内置的波形模板,设置几个关键参数即可得到
3)List模式
通过list模式支持逐点编辑信号波形,也支持通过其他仪器获取的波形文件(csv)复制导入
设置路径:Sweep->List->Copied data


QuickIV的图形化显示界面可以直观清晰的对测量结果以波形形式显示,而且通过设置坐标轴的参考值,我们可以看到不同的信号,不同的通道之间的关联性。
五
源表画只小兔子
那多个通道去进行波形编辑,会产生什么意想不到的波形呢?让我们画只小兔子吧
步骤一:以两个通道的数值来作为坐标点,利用List模式分别对两个通道进行描点,并修改图形化界面坐标轴参数为CH1=X,CH2=Y


步骤二:通过修改图形设置参数以及调整坐标轴刻度,我们还可以改变兔子的颜色以及“身材管理”




小兔子画好啦,不知道各位工程师还喜欢吗?
敲黑板划重点
利用源表输出复杂特定波形有以下几种方式:
脉冲,线性扫描波形
简单内置波形(sine,log seep等)
List模式
梦金指南网



